Beschreibung Bakterienzelle mit herausnehmbaren Elementen (mRNA, Plasmid, Membraneinstülpung, Ribosom und Vesikel). weitere Hinweise Downloads Vesikel Plasmid mRNA Bakterienzelle_Koerper Membraneinstülpung Ribosom
Category: Biology
Antigen passend zu Antikörper IgG
Beschreibung Hier das passende Antigen zum Antikörper. Bei Skalierung des Antikörpers nicht vergessen das Antigen um den gleichen Faktor zu skalieren 🙂 weitere Hinweise Downloads Antigen passend zu Antikörper IgG Antigen
Antikörper IgG
Beschreibung Ein Modell eines IgG Antikörpers. Durch die Mittelkonstruktion sind die Arme beweglich. weitere Hinweise Für den Ultimaker 3 habe ich das Modell auf 85% skaliert. Downloads Antikörper IgG IgG
Enzyme – Modellvorstellungen
Auf Grundlage des folgenden ABs habe ich 3-D Modelle erstellt. Die gedruckten Bausteine als Bilder: Hier dann die verschiedenen Modelle als STL-Datei – die Verwendung wird sich (hofffentlich) erschschließen! – als ZIP Oder auch fürContinue reading
Blutgruppenverträglichkeit und Häufigkeit der Blutgruppen
Beschreibung weitere Hinweise Downloads Blutgruppenverträglichkeit und Häufigkeit der Blutgruppen Blutgruppenverträglichkeit-und-Häufigkeit-1
Bau einer Blüte
Beschreibung Schematische Darstellung einer typischen Blüte. Abgebildet werden Blütenboden, Kelchblätter, Kronblätter, Staubblätter, Stempel. Verschieden dicke Linen und Schraffuren trennen die einzelnen Bestandteile. weitere Hinweise Die Vorlage ist in Eurobraille beschriftet. Downloads Bau einer Blüte
Aufbau einer Pflanzenzelle
Beschreibung Schematische Darstellung einer typischen Pflanzenzelle. Abgebildet werden Zellkern, Zellmembran, Zellwand, Vakuole, Chloroplasten, Zellplasma und Tonoplast. weitere Hinweise Die Vorlage ist in Eurobraille beschriftet. Zusätzlich gibt es noch eine kontrastreiche Version für sehbehinderte Schülerinnen undContinue reading
Bau einer Blütenpflanze
Beschreibung Schematische Darstellung einer typischen Blütenpflanze. Abgebildet werden Blüte, Stängel, Blätter und Wurzeln. Eine dicke gestrichelte Linie trennt die Darstellung in oberirdisch und unterirdisch. weitere Hinweise Die Vorlage ist in Eurobraille beschriftet. Zusätzlich gibt esContinue reading
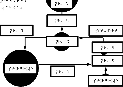
Regelkreis
Beschreibung Dargestellt ist die taktile Fassung eines Regelkreises. weitere Hinweise Downloads Regelkreis






